【机情无限 精彩毕设】机械2024届毕业设计(论文)中期检查优秀案例分享第十一期——集成式风电机组传动链动态特性分析
员工姓名:胡志鑫
班级班级:机械2020-02班
指导教师:吴晓
毕设题目:集成式风电机组传动链动态特性分析

一、概况
1.选题意义
根据全球电力报告,2022年全球火力发电占全球总发电量35.4%,我国火力发电占比全国总发电量65.9%,远高于全球水平。由此可见我国发电来源主要以火力发电为主,其需要消耗不可再生资源,而我国目前对于煤炭开采已经处于过度开发状态。随着化石能源危机爆发,因其造成的全球变暖、环境污染等问题日益严重,清洁能源、节能减排等一系列话题成为全球关注点。就近年来风力发电占比以及风电装机占比来看,虽然大致呈稳定增长趋势,但我国电力结构清洁化程度仅为33.5%,低于全球平均水平38.7%,对于未来清洁能源在电力方面的贡献,毋庸置疑可再生能源将占有愈发重要的地位。
通过研究风电机组传动链的动态特性,能够提高风电机组的可靠性和效率。传动链作为风电机组的重要组成部分,直接影响到机组的性能和运行稳定性。了解传动链在不同工况下的运行特性,可以为机组设计、制造和运行提供重要依据。通过深入研究传动链的动态特性,可以判别潜在的故障模式和运行瓶颈,以便制定相应的改进和优化方案,提高机组的可靠性和输出效率。同时,传动链的动态特性研究有助于减少故障和事故的发生。传动链作为机械部件,容易受到磨损、疲劳、振动等因素的影响。而由于风电机组的特殊性,一旦传动链发生故障,不仅可能导致机组停机,还可能对整个风电场的稳定性产生影响。通过对传动链动态特性的深入研究,可以及早发现潜在的故障迹象,预测故障发生的可能性,并采取相应的维护和保养措施,及时解决问题,减少故障和事故的发生,从而提高整个风电场的可靠性和安全性。此外,传动链的动态特性研究能够帮助优化设计和运维策略。了解传动链在不同工况下的运行特性,可以为传动链的合理设计提供指导,优化传动链结构和参数配置,提高机组的性能。同时,还可以制定合理的运维策略,包括维护周期、维修方案等,以延长传动链的使用寿命,降低运维成本,提高风电场的经济效益。最后,传动链的动态特性研究有助于推动风电领域的进步和创新。风电机组的传动链技术一直在不断发展和创新,通过深入研究传动链的动态特性,可以发现传动链的改进和优化方向,引导相关技术的研发和应用,推动风电产业向更高效、更可靠、更可持续的方向发展。
2.任务分解
(1)查阅资料了解当下风电产业以及风力发电机传动链相关研究发展状况;
(2)了解风力发电机类型、传动链结构配置,就集成式风电机组传动链熟悉其工作原理以及各构件作用;
(3)基于SIMPACK模型对传动链进行动力学建模;
(4)通过软件仿真,研究传动链长度、轴承刚度等因素对风电机组传动链系统动态特性的影响;
(5)撰写毕业设计论文、翻译专业相关的外文资料(6000-10000单词)。
二、已完成工作
1.熟悉风力发电机领域研究
根据当下风力发电机相关研究进展并结合研究题目,简要总结出当下风电机组传动链研究的不足之处。目前风力发电机类型分为水平轴和垂直轴风力发电机,以水平轴风力发电机为例,总结出目前传动链结构配置总共分为以下四种,即模块式传动链、集成式传动链、部分集成传动链以及直驱式传动链,并简单叙述各自优缺点。以常见风力发电机为例,简要介绍其内部构件组成并叙述各部件主要作用。绘制集成式风电机组传动链内部结构图并阐述其工作流程,示意图如下。
图1 水平轴风力发电机集成式传动链内部结构示意简图
2.集成式风电机组传动链三维建模
分为以下几个关键步骤,第一是齿轮参数设置,分为低速级和高速级行星轮系,具体参数如下。
图2 集成式风电机组传动链低速级和高速级行星轮系参数
随后是齿轮力元设置,分为齿轮内啮合副和外啮合副,设置过程中需要考虑阻尼类型、齿轮空白系数、杨氏模量、泊松比等参数;然后是轴承力元设置,该模型共有16组参数,其中有5类轴承数据,分别为低速级行星轮上风向轴承、低速级行星轮下风向轴承、高速级行星轮轴承、高速级行星架上方向轴承和高速级行星架下方向轴承,刚度参数如图所示。
图3 轴承刚度对角数据
随后是驱动扭矩力元设置以及发电机反馈力元设置,完成以上步骤进行模型组装得到如图所示传动链结构。
图4 集成式风电机组传动链三维模型
3.集成式风电机组传动链模态分析
先简要推导模态分析的理论分析过程,目的是为了得到各阶的固有频率。一般研究着眼于较低固有频率,本次研究以200Hz为边界,通过仿真发现其前28阶固有频率为0,为刚体模态,无研究分析意义,同时分析该系统模态振型图,总结出三类振动模式,分别为高速级行星轮系与低速级太阳轮轴耦合振动模式、高速级行星轮系振动模式和低速级行星轮振动模式。如图所示为对应振动模式典型振型图。


图5 集成式风电机组传动链振型图
4. 集成式风电机组传动链危险频率分析
该传动链模型额定转速设定为8.88rpm,根据经验一般切入转速为额定转速的0.5倍左右,切出转速为额定转速的1.2倍左右,参数如图所示。

图6 集成式风电机组传动链转速数据
经过仿真,得到对应工况下齿轮箱内部中各部件激励频率变化过程,结合模态分析得出的各阶固有频率和齿轮箱内部中各部件激励频率变化过程绘制坎贝尔图以及模态能量分布图,如图所示。

图7 传动链系统0-350Hz坎贝尔图

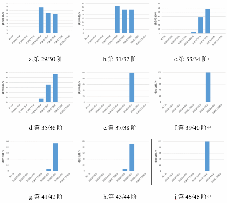
图8 系统29-46阶模态动能分布图
结合坎贝尔图与模态动能分布图,分析出该传动链共有21个潜在共振点,并且激励来源全部为高速级行星轮系,如图所示。


图9 系统危险频率和激励来源的对应关系
三、下一步工作计划
1.根据对于系统原传动链动态特性过程,仿照类似操作,研究传动链长度变化以及轴承刚度变化对于集成式传动链动态特性的影响,总结仿真结果。
2.基于SIMPACK软件对传动链进行动力学建模。
3.对本次研究进行全篇总结,自我提出研究不足与改进建议。
4.交予指导教师进行论文润色并查重。
5.制作最终答辩ppt,准备最终论文研究汇报。
问题一:为何仿真结果前28阶固有频率为0?
回答:这是由于建立模型过程中,某个或几个部件未添加约束,在该软件中,联接部件与部件关系的功能叫“铰接”,一个部件有且仅有一个铰接,由于是仿真分析,并未做到完完全全同真实构件相同,个别地方建模近似处理。但分析结果并不影响作为结构设计人员的理论依据,同时正因为其固有频率为0,该阶为刚体模态,也没有研究分析意义。
问题二:研究传动链共振时为何着眼于齿轮啮合频率的倍频?
回答:齿轮啮合时会产生周期性的激振力,激振力的频率称为齿轮啮合频率。当齿轮箱的固有频率与齿轮啮合频率或其倍频相等时,就会产生共振现象。同时该类型传动链绝大多数部件集成于齿轮箱内部,齿轮箱的固有频率通常是齿轮啮合频率的整数倍,因此齿轮啮合频率的倍频共振在齿轮箱中是比较常见的,通过分析齿轮箱的固有频率和齿轮啮合频率,可以识别潜在的倍频共振点。在齿轮箱设计时,可以通过调整齿轮的齿数、齿宽、齿形等参数,或者采用减振措施,避免齿轮箱固有频率与齿轮啮合频率或其倍频相等,从而降低共振发生的可能性。
经过中期答辩的洗礼,我收获颇丰,有以下几点体会:
1.明确研究方向和目标:通过答辩过程,我再次梳理了研究思路,明确了研究方向和目标,对课题有了更清晰的认识。
2.提升沟通和表达能力:答辩过程锻炼了我的沟通和表达能力,让我学会了如何清晰简洁地阐述自己的研究工作,并应对答辩专家们的提问。
3.获得专家指导和支持:答辩专家们不仅提出了宝贵的意见,也给予了我鼓励和支持,让我更有信心继续推进研究工作。
4.提升自信心和抗压力:成功通过中期答辩增强了我的自信心,也让我意识到自己还有很多需要提高的地方,促使我更加努力地进行研究。
总之,中期答辩是一次宝贵的学习和成长的经历。它让我明确了研究方向,完善了研究思路,提升了沟通和表达能力,发现了研究中的不足,获得了专家指导和支持,并增强了自信心和抗压力。于此同时,我要在此感谢我的指导教师—吴晓副教授以及多位师兄对我这几个月来的悉心指导,没有他们的帮助,我或许在研究道路上举步维艰,也要感谢组会中各位同学的建议,使我明白自身的不足并加以改进,最后的时间里继续以专注的态度对待下一步的工作,按期按量地完成毕业论文,顺利结题。